When you are looking for a sheet you can also check online to determine what works best for you. Honors Chemistry Worksheet Specific Heat.
One with the picture and one without save on toner Key Words.
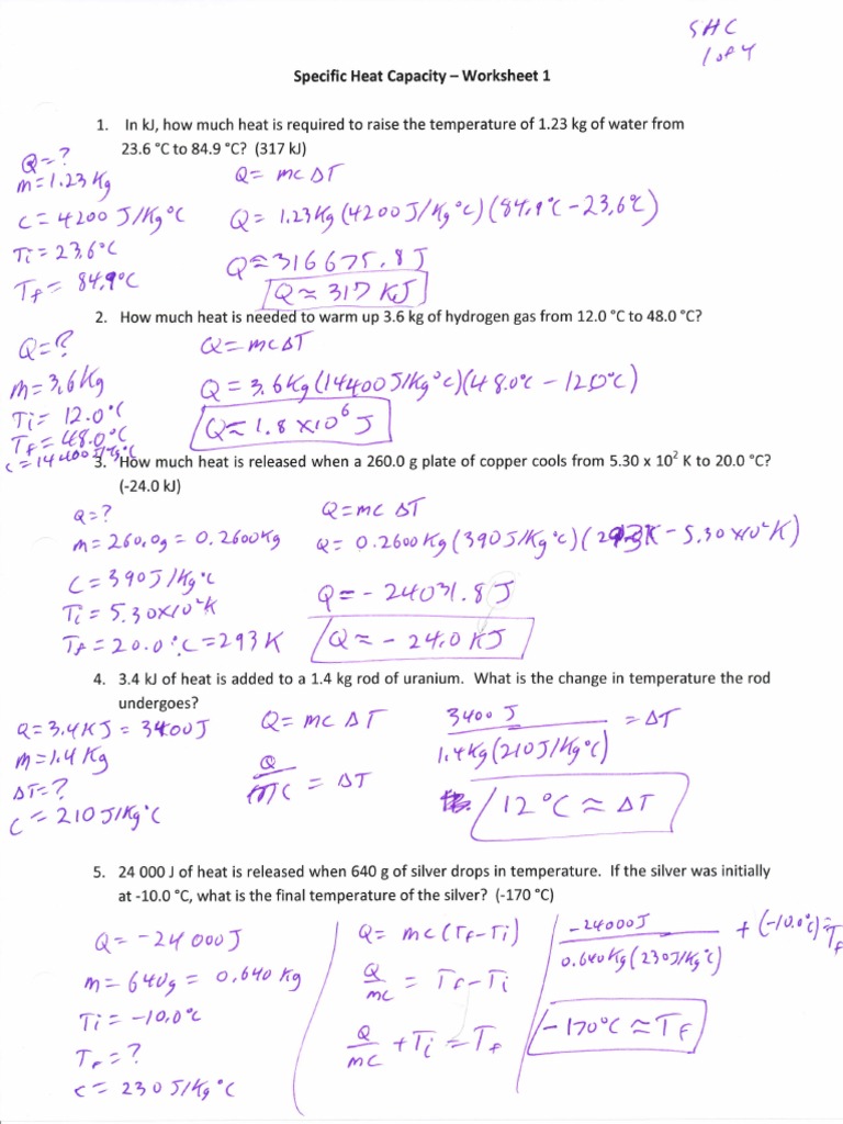
Specific heat worksheets with answers. Use q mΔTCp to solve the following problems. Show all work and units. A 1575-g piece of iron absorbs 108675 joules of heat energy and.
Specific Heat Worksheet Name in ink. C qmAT where q heat energy m mass and T temperature Remember AT Tfinal Tinitial. Show all work and proper units.
Answers are provided at the end of the worksheet without units. A 1575-g piece of iron sorbs 108675 joules of heat energy and its temperature changes from 25 0 1750C. Worksheet- Calculations involving Specific Heat 1.
For q m c Δ T. Identify each variables by name the units associated with it. Q amount of heat J m mass grams c specific heat JgC ΔT change in temperature C 2.
Heat is not the same as temperature yet they are related. Explain how they differ from each other. Specific heat worksheet with answers pdf.
Specific heat worksheet name in ink. Specific heat capacities of some common substances are shown in the table below. 2 what mass of water can be heated from 25 0 c to 50 0 c by the addition of 2825 j.
Familiar with the specific heat capacity of water 1 00 cal g c. Honors Chemistry Worksheet Specific Heat. Recognize that when two systems at different temperatures meet there will be a net transfer of heat energy from the system of greater heat intensity to the system of lower heat intensity.
Summary Heat flows from source to sink in other words from hot to cold until thermal equilibrium is obtained. If you pick up a spoon sitting in some hot hot chocolate the spoon feels hot or warm because it is transferring heat. Specific Heat Worksheet Name in ink.
C qmT where q heat energy m mass and T temperature Remember T Tfinal Tinitial. Show all work and proper units. Answers are provided at the end of the worksheet without units.
Specific heat chem worksheet 16 1 answer key also thermochemistry. Specific heat worksheet name in ink. As for the materials they can be quite detailed and if you re going to do your own study it will need to be a little more involved.
100 0 ml of 4 0 c water is heated until its temperature is 37 c. Specific heat capacities of some common substances are shown in the table below. For q m oc a t.
Specific heat worksheet answers. 2 what mass of water can be heated from 25 0 c to 50 0 c by the addition of 2825 j. Worksheet calculations involving specific heat 1.
Q amount of heat j m mass grams c specific heat j g c δt change in temperature c 2. A copper cup holds some cold water at 4 c. C q mat where q heat energy m mass and t temperature remember at tfinal.
16082019 04092019 Worksheet by Lucas Kaufmann. In advance of talking about Specific Heat Practice Worksheet Answer Key you need to understand that Instruction can be the step to a more rewarding the next day in addition to understanding does not only end as soon as the classes bell rings. That will remaining reported most of us provide you with a number of easy nevertheless informative.
In terms of thermal energy why does. 10 New Specific Heat Problems Worksheet Answers Pics Grahapada Com Kinetic energy temperature is the measure of the average thermal energy in a system or body. Thermal energy and heat worksheet answers.
Transfer of thermal energy worksheet. Read the selection and answer the questions. The transfer of thermal.
27082019 04092019 Worksheet by Lucas Kaufmann. In advance of discussing Specific Heat Worksheet Answer Key you need to know that Education and learning is definitely our own critical for a more rewarding next week along with discovering doesnt just stop as soon as the classes bell rings. This getting reported all of us provide a number of easy however educational.
Specific Heat Problems - Displaying top 8 worksheets found for this concept. Some of the worksheets for this concept are Specific heat practice problems work with answers Specific heat wksht20130116145212867 Calorimetry problems Specific heat problems Latent heat and specific heat capacity 13 0506 heat and heat calculations wkst Calorimetry work Skill and. Specific Heat Problems Worksheet Answers Along with Specific Heat Worksheet Answers You can get a sheet that will help you with all the basic needs for an air conditioning system.
When you are looking for a sheet you can also check online to determine what works best for you. Phase Changes from Specific Heat Worksheet Answers sourcehyperphysicsphy-astrgsuedu. Specific Heat Worksheet Two page worksheet using Specific Heat Capacity.
Questions start easy then become gradually harder. Answers included on separate sheet. Also includes a spreadsheet to show.
Worksheet- Calculations involving Specific Heat 1. For q m oc A T. Identify each variables by name the units associated with it.
Heat is not the same as temperature yet they are related. Explain how they differ from each other. Perform calculations usin 1.
Gold has a specific heat. For instance if he understands his performance will be judged based on achievement of a goal he will work harder to attain it. Specific Heat Worksheet Answers.
Worksheet June 07 2019 0328. You may use the same worksheet for lots of your students. At times youll discover too many worksheets and youd love to hide numerous them the worksheet still exists but it isnt clear to the reader and you may recover it anytime its needed.
Carry in mind you may. This worksheet begins with 2 discussion questions of specific heat and what it means. Then there are 9 practice problems each solving for one of the variables in the equation.
Qmc delta T Two versions are included. One with the picture and one without save on toner Key Words.